Fundamentalanalyse

YoY, auch bekannt als 'Year Over Year', bezeichnet den Vergleich von Statistiken eines bestimmten Zeitraums mit dem entsprechenden Zeitraum des vorherigen Jahres. Üblicherweise bezieht sich dieser Zeitraum auf einen Monat oder ein Quartal. Der Jahresindex berechnet dabei die prozentuale Veränderung über die letzten zwölf Monate.
Die Berechnung der jährlichen Wachstumsrate (YoY) ist eine Kennzahl, die das Wachstum in einem bestimmten Zeitraum (in der Regel ein Monat) mit dem entsprechenden Zeitraum zwölf Monate zuvor im Vorjahr vergleicht (daher der Name). Im Gegensatz zu separaten monatlichen Metriken bietet Ihnen YoY ein Bild Ihrer Leistung, das saisonale Effekte, monatliche Schwankungen und andere Faktoren unberücksichtigt lässt. So erhalten Sie ein klareres Bild Ihrer tatsächlichen Erfolge und Herausforderungen über die Zeit. Es ist nicht überraschend, dass dies eine wichtige Kennzahl für die Einzelhandelsanalytik ist.
Der erste große Vorteil des jährlichen Wachstums besteht darin, die Saisonalität aus den Wachstumsmetriken zu eliminieren. Die meisten Einzelhändler erleben ein starkes Umsatzwachstum während der Weihnachtszeit. Auf monatlicher Basis kann dies irreführend wirken und ein untypisches Wachstum suggerieren. Diese aufgeblähten Zahlen sind jedoch nicht wirklich repräsentativ für das Wachstum über die Zeit, wenn sie nach den Feiertagen wieder auf ein normales Niveau zurückkehren.
Der Vergleich ähnlicher Zeiträume über die Zeit hinweg bietet ein genaueres Maß für das Wachstum Ihres Unternehmens. Hier ein Beispiel: Ein monatlicher Umsatzanstieg von 40% im November mag beeindruckend erscheinen und Grund zum Feiern bieten. Im Vergleich zum Vorjahr, als das Wachstum 45 % betrug, deutet diese Zahl jedoch eher auf eine leichte Verlangsamung hin, nicht auf einen Sprung. Ohne Jahresvergleiche, die Ihnen eine Benchmark und einen historischen Kontext bieten, stützen Sie sich nur auf die neuesten Daten. Dies ist keine solide Grundlage für langfristige Entscheidungen oder zur Förderung von langfristigem Wachstum.
Das bedeutet jedoch nicht, dass YoY-Kennzahlen das Nonplusultra der Analyse sind. Die Fokussierung auf einen 12-Monats-Zeitraum kann ein zu allgemeines Bild ergeben. Die Kombination einer Langzeitperspektive mit einer ergänzenden Analyse von Monat zu Monat und Quartal zu Quartal kann Ihnen helfen, verschiedene Aspekte des jährlichen Wachstums zu analysieren und zu sehen, wie sich Ihr Unternehmen auf unterschiedliche Weise entwickelt.
Das jährliche Wachstum ist auch viel mehr als nur der Umsatz. Sie können zahlreiche Aspekte Ihres Wachstums messen: Konversionen, durchschnittliche Umsätze und andere Kennzahlen, die damit in Zusammenhang stehen, aber über das Endergebnis hinausgehen.
Der erste Schritt besteht darin, die notwendigen Daten zu sammeln: Monatliche Daten für den Zeitraum, den wir analysieren möchten, sowie die gleichen Informationen für den entsprechenden Zeitraum, der 12 Monate zuvor erfasst wurde.
Sobald Sie Ihre Datenbasis haben, ist der Prozess selbst recht einfach und umfasst drei Schritte:
Zu den entscheidenden Treibern des Wirtschaftswachstums zählt vor allem der technologische Fortschritt. Ebenso spielen Investitionen in Sach- und Humankapital sowie in die Infrastruktur eine wesentliche Rolle bei der Bestimmung der Wachstumsrate einer Volkswirtschaft.
Der bedeutendste Faktor, der die durchschnittliche jährliche Wachstumsrate beeinflusst, ist jedoch die Zeit. Je länger eine Investition gehalten wird, desto mehr Zeit hat sie, um Rendite zu erbringen und zu wachsen. Dies gilt ebenso für die Anfangs- und Endwerte sowie die Reinvestitionsraten.
Das Year-over-Year (YoY) ist eine häufig verwendete Kennzahl für die fundamentale Analyse von Unternehmen, mit dem Ziel, Investitionsentscheidungen basierend auf der Entwicklung des Unternehmens zu treffen.
Wenn Sie diese Investitionsphilosophie teilen, könnten auch die folgenden Artikel zur fundamentalen Analyse von Interesse für Sie sein:
Die erste Berechnungsmethode sieht folgendermaßen aus:

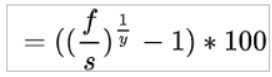
Die zweite Methode: Berechnung der jährlichen Wachstumsrate über mehrere Jahre

Dabei ist f der Endwert, s der Anfangswert und y die Anzahl der Jahre.
Das Umsatzwachstum zeigt die prozentuale Veränderung des Umsatzes gegenüber dem jeweiligen Vergleichszeitraum. Dieser Vergleichszeitraum kann z.B. die Bilanz des Vorjahres oder der jeweilige Monat des Vorjahres sein.
Darüber hinaus wird das Umsatzwachstum in der Regel in einer Differenzierung nach Produktbereichen oder Absatzregionen dargestellt.
Wenn Sie daran interessiert sind, die jährliche Wachstumsrate in Ihrer Anlagestrategie anzuwenden, könnte Degiro genau der richtige Broker für Sie sein. Degiro bietet eine intuitive Handelsplattform und eine breite Palette von Finanzinstrumenten, die ideal für die Umsetzung von YoY-basierten Strategien sind. Wir haben den Broker gründlich getestet und eine ausführliche Bewertung von Degiro verfasst, die Ihnen helfen kann, eine informierte Entscheidung zu treffen. Lesen Sie unsere Bewertung, um mehr über die Angebote und Vorteile von Degiro zu erfahren.
Investieren birgt ein Verlustrisiko.
Es ist wichtig zu verstehen, dass Inflation und Bevölkerungswachstum einen erheblichen Einfluss auf die jährliche Wachstumsrate haben:
Inflation, ein kontinuierlicher Prozess der Geldentwertung, zeigt sich in allgemeinen Preissteigerungen. Mit einer Währungseinheit kann man dann immer weniger kaufen, was bedeutet, dass die Kaufkraft des Geldes stetig sinkt. Inflation führt zur Entwertung der Ersparnisse, was wiederum die Sparneigung der Bevölkerung verringert oder dazu führt, dass gespartes Geld in Sachwerte investiert wird. Dies beschränkt die Fähigkeit der Banken, Kredite für Unternehmensinvestitionen zu vergeben, was Produktionsbeschränkungen und Arbeitslosigkeit zur Folge haben kann.
Bevölkerungswachstum verursacht negative externe Effekte in vielen Lebensbereichen, wie Ressourcenknappheit, Arbeitsmarktkollaps, Armut, Ungleichheit, Unsicherheit und Umweltzerstörung.
Der große Vorteil von Jahresvergleichen besteht darin, dass sie automatisch um saisonale Effekte bereinigt werden. Beispielsweise steigen die Einzelhandelsumsätze im November und Dezember aufgrund der Weihnachtseinkaufssaison an – ein kritischer Zeitraum des Jahres, auf den fast 20 % der Einzelhandelsumsätze entfallen.
Eine jährliche Analyse hilft, Schwankungen von Monat zu Monat auszugleichen. Es ist jedoch auch ratsam, die einzelnen Monate zu betrachten, um ein umfassendes Bild zu erhalten. Aus diesem Grund enthalten die meisten Wirtschaftsberichte monatliche Trends. Generell ist es empfehlenswert, die Jahresdaten selbst eingehend zu überprüfen.
61% der Anlegerkonten verlieren Geld durch den Handel mit CFDs bei diesem Anbieter.
71% der Anlegerkonten verlieren Geld beim Handel mit CFDs über diesen Anbieter.
Jegliche Investitionen sind stets mit Risiken verbunden. Angemessenheitstest & AGB gelten.
Haftungsausschluss: