Dividenden

Das Gordon Growth Modell (GGM), auch als Gordons Wachstumsmodell oder Dividenden-Discount-Modell mit konstantem Wachstum bekannt, ist eine beliebte Methode, um den inneren Wert einer Aktie zu berechnen. Es basiert auf der Annahme, dass Dividenden dauerhaft mit einer konstanten Rate wachsen.
Dieses Modell ist vor allem für Dividendenaktien interessant und wird häufig von langfristig orientierten Anlegern genutzt, um zu prüfen, ob eine Aktie unterbewertet oder überbewertet ist. An anderer Stelle haben wir die Top Dividenden-Aktien in Deutschland vorgestellt.
Das Modell wurde in den 1950er-Jahren vom Finanzprofessor Myron J. Gordon an der University of Toronto entwickelt und 1959 erstmals veröffentlicht.
Sein Ziel: Eine einfach anwendbare Formel für Investoren zu schaffen, mit der sich Aktien allein auf Basis zukünftiger Dividenden bewerten lassen.
Die GGM-Formel lautet:

Bedeutung der Variablen:
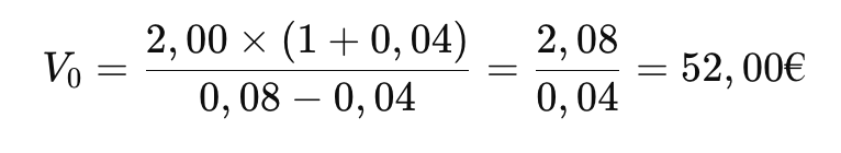
Beispiel:
Ein Unternehmen zahlt aktuell 2,00 € Dividende pro Aktie.
Die erwartete Wachstumsrate der Dividende beträgt 4 %, und die geforderte Rendite liegt bei 8 %.

→ Liegt der aktuelle Börsenkurs unter 52 €, könnte die Aktie als unterbewertet gelten.
Das Gordon Growth Modell ist ein Kerninstrument der Fundamentalanalyse, insbesondere für Investoren, die Wert auf Dividenden legen.
Seine Bedeutung lässt sich in mehreren Punkten zusammenfassen:
💡 Praxis-Hinweis: Viele Analysten nutzen das GGM nicht isoliert, sondern ergänzen es mit weiteren Bewertungsmodellen wie dem Discounted Cash Flow (DCF) oder der Free-Cashflow-Analyse.
Trotz seiner Nützlichkeit hat das Gordon Growth Modell klare Limitationen, die Anleger kennen sollten:
Das Wachstumsmodell von Gordon ist somit ein Dividendenabschlagsmodell, das von einem konstanten Wachstum eines Unternehmens ausgeht. Dieses Modell basiert auf der Theorie, dass der Preis einer Aktie dem Preis der Dividenden entsprechen muss, die das Unternehmen haben wird (auf seinen Nettowert abgezinst).
Das Gordon Growth Modell eignet sich besonders für Dividendeninvestoren, die langfristig planen und stabile Zahlungsströme bevorzugen.
In der Praxis erfolgt die Anwendung meist in diesen Schritten:
💡 Tipp für deutsche Anleger:
Besonders geeignet für Blue-Chip-Aktien mit Dividendenhistorie, z. B. Allianz, Münchener Rück, BASF oder international Johnson & Johnson. Bei zyklischen Branchen wie Automobil oder Chemie ist jedoch Vorsicht geboten.
Wer den mit dem Gordon Growth Modell ermittelten fairen Wert einer Aktie nutzen möchte, um gezielt in unterbewertete Dividendenwerte zu investieren, braucht einen zuverlässigen Broker. Hier gebe ich dir einige Empfehlungen dazu.
Das Investieren in Finanzprodukte birgt ein gewisses Risiko.
71% der Anlegerkonten verlieren Geld beim Handel mit CFDs über diesen Anbieter.
Der Wert von Investitionen kann schwanken.
Das Gordon Growth Modell ist ein einfaches, aber leistungsfähiges Bewertungswerkzeug für Dividendenaktien.
Es hilft Anlegern, Über- oder Unterbewertungen zu erkennen, funktioniert aber nur unter realistischen Wachstumsannahmen und bei stabilen Dividendenzahlern.
Wer es bewusst einsetzt und mit anderen Bewertungsmethoden kombiniert, kann seine Investmententscheidungen fundierter treffen.